WYKŁAD 1

1.1 Wstêp; podstawowe pojêcia i prawa

z powrotem do spisu treści...

Podrêczniki:

Z bardzo wielu podrêczników, w jêzyku polskim i angielskim, polecałbym szczególnej uwadze kilka niżej wymienionych:

1. Richard P. Feynman, Feynmana wykłady z fizyki.

Dostêpny w jêzyku polskim, jest kilka egzemplarzy w bibliotece IF UMK. Bardzo gorąco polecam. Jest to doskonały podrêcznik pomagający w głêbszym zrozumieniu fizyki, lektura na wszelkie okazje, do poduszki a także na weekendy, wadą (albo zaletą) jest czêsto brak szczegółów.

2. Jurgen R. Meyer-Arendt, Wstêp do optyki.

Dostêpny w jêzyku polskim, jest kilka egzemplarzy w bibliotece IF UMK. Bardzo solidny, dobrze przetłumaczony na jêzyk polski podrêcznik. Duży zakres materiału. Troche ciêżki w czytaniu, za to jest to dobre źródło szczegółów, terminów, definicji itd.

3. Eugene Hecht, Optics.

Podrêcznik obecnie stosowany na amerykañskich uniwersytetach. Na razie dostêpny wyłącznie w jêzyku angielskim. Bardzo przyjemna lektura, jest to podrêcznik typu pośredniego pomiêdzy Feynmanem i Meyerem-Arendtem. Dużo dobrych ilustracji, zrozumiałe i poglądowe wyjaśnienia.

 

Ogólna charakterystyka dziedziny.

Optyka to jedna z najstarszych (a może nawet najstarsza) dziedzin fizyki. Optyka to nauka o świetle, jego wytwarzaniu, rozchodzeniu siê w różnych ośrodkach, oddziaływaniu z tymi ośrodkami. Optyka wydzieliła z siebie wiele innych działów fizyki. Obejmuje światło widzialne, bliski ultrafiolet i podczerwieñ. Oczywiście nie wszyscy zainteresowani siê z tym godzą, ale wielu uważa, że optykê można z grubsza podzieliæ na optykê geometryczną (przyrządy optyczne), falową (przydatną, m.in. do oceny niektórych ograniczeñ i błêdów układów optycznych) i spektroskopiê. Z bardzo wielu zastosowañ optyki wymienimy kilka bardziej interesujacych: inteligentne bomby, samonaprowadzające siê pociski i rakiety, satelity szpiegowskie. Z bardziej pokojowych i także bardziej rynkowych zastosowañ optyki warto wymieniæ przyrządy optyczne, róznego typu lasery, telekomunikacjê, optyczne przetwarzanie informacji, sprzêt do monitorowania środowiska, całą wielką dziedzinê związaną z oświetleniem, itd, itp.

Optyka, trochê historii.

Już około ~1200 BC w starożytnym Egipcie znano i stosowano zwierciadła chociaż związane z nimi podstawowe prawa optyki geometrycznej; prostoliniowe rozchodzenie siê światła, prawo odbicia pochodzą prawdopodobnie od Euklidesa ~300 BC. Soczewki skupiające znano i stosowano w starożytnej Grecji i Rzymie. Heron z Aleksandrii sformułował zasadê najkrótszej drogi, prekursora zasady Fermata i wariacyjnego podejścia w optyce, mechanice i mechanice kwantowej. Ptolemeusz zmierzył i opublikował tablice kątów padania i załamania dla niektórych prostych ośrodków (nikt ze starożytnych nie wpadł jednak na prawo załamania). Niektóre starożytne teorie światła (Arystoteles i inni) przypominają teorie eteru z koñca XIX wieku. Warto przypomniec zasługi Arabów, ok. 1000 AD, Alhazen. Byl takze polski matematyk Witelo, ok. 1200, sporo o nim wiadomo, takze dziêki torunskim fizykom i historykom. Leonardo da Vinci - camera obscura (XV wiek). Lippershey, Galileusz, Kepler wynaleźli i udoskonalili teleskop, a Janssen wynalazł mikroskop (XVI wiek). Willebrord Snell sformułował prawo załamania, zaś Kartezjusz wyprowadził to prawo używając modelu światła - światło miało byæ wg Kartezjusza zaburzeniem pewnego ośrodka, dośæ przypominającego eter (!). Pierre de Fermat podał zasadê najkrótszego czasu (XVII wiek), modyfikujac zasadê Herona. Grimaldi (XVII wiek), poczynił i opisał pierwsze obserwacje dyfrakcji, czyli odstêpstwa od prostoliniowego rozchodzenia siê światła. Hook zaobserwował barwne efekty w cienkich warstwach, prawidłowo zinterpretował je jako rezultat interferencji wiązek odbitych od obu powierzchni warstwy, XVII wiek. Wczesne interpretacje korpuskularne i falowe, pryzmat, początki spektroskopii to oczywiscie Newton (XVII/XVIII wiek). Falowe podejście i odkrycie polaryzacji swiatla (podwójne załamanie) to Huygens (XVII/XVIII wiek). Pierwszy pomiar prêdkości światła, Roemer, obserwacje astromiczne (!), także XVII/XVIII w. Young i Fresnel - podejście falowe, Maxwell, elektromagnetyczna teoria światła, XIX wiek, Fizeau, pierwszy pomiar prêdkości światła przy użyciu wymyślnej aparatury (podobną aparaturê stosowali fizycy z IF UMK, nie tak dawno temu, do pomiarów czasu życia - zmierzone opóźnienie może byæ spowodowane, tak jak u Fizeau, różnicą dróg, albo różnicą czasów pomiêdzy wzbudzeniem i emisją, zatem, w tym drugim przypadku, można je wykorzystaæ do pomiarów czasów życia emitujących atomów lub cząsteczek). XX wiek - stało siê bardzo dużo, o wielu sprawach bêdzie mowa bardziej szczegółowo na tych wykładach. Gdybym jednak miał wymieniæ choæ jedną, ale za to najważniejszą rzecz to jest to chyba rozwiązanie problemu dualizmu korpuskularno-falowego dziêki mechanice kwantowej.

 

 

 

Optyka geometryczna

Podstawowe pojêcia i prawa.

 

W ośrodkach jednorodnych światło rozchodzi siê prostoliniowo; kierunki wyznaczone przez rozchodzące siê prostoliniowo światło nazywamy promieniami świetlnymi. Przecinające siê promienie świetlne nie przeszkadzają sobie nawzajem i nie wpływają na siebie w żaden sposób.

Uwaga: Pojêcie promienia świetlnego można wprowadziæ w oparciu o równania Maxwella (eikonały). Choæ skomplikowane i byæ może efektowne, takie sformalizowane podejście nie daje nam jednak o wiele wiêcej niż proste sformułowanie podane wyżej. To proste sformułowanie, co najważniejsze, jest zupełnie wystarczające, przy uwzglêdnieniu dodatkowo prawa odbicia i załamania, do rozwiązywania praktycznych zagadnieñ z optyki. Nawiasem mówiąc, podejście "eikonałowe" nie jest także żadnym "ostatecznym" wyprowadzeniem jako że równania Maxwella, choæ falowe i, niewątpliwie bardzo piêkne i pożyteczne, nie uwzglêdniają jednak "prawdziwej" (tzn. kwantowej) natury światła. Jest to byæ może bardzo dobry przykład na typowe dla fizycznych teorii ograniczenie.

Prawa odbicia i załamania

Istnieją różne sposoby wyprowadzenia tych praw, za chwilê podamy jeden z nich, w oparciu o zasadê Fermata, na razie podajemy te prawa jako prawa "empiryczne" (znane Wam zresztą ze szkoły):

 

 

Rys. 1. Promienie: padający, odbity i załamany na granicy dwóch ośrodków. Kąty q p (padania), q o (odbicia) i q z (załamania) mierzymy wzglêdem normalnej do granicy ośrodków

p - padający, o - odbity, z - załamany

 

 

 

 

 

Prawa odbicia i załamania:

1. Promienie padający, odbity i załamany leżą w jednej płaszczyźnie zwaną płaszczyzną padania (jest to na rys. 1 płaszczyzna rysunku),

2. Kąt padania jest równy kątowi odbicia, q p = q o,

3. , gdzie n - współczynnik załamania; prawo Snella.

Zasada Fermata (jeden ze sposobów uzasadnienia i wyprowadzenia praw odbicia i załamania).

Sformułowanie proste (nie do koñca poprawne ale wygodne i wystarczające w wiêkszości przypadków) podaje zasadê Fermata w postaci zasady najkrótszego czasu: z różnych możliwych dróg światło wybierze (określając w ten sposób tor promienia świetlnego) tê, która odpowiada najkrótszemu czasowi przejścia.

 

Wyprowadzenie prawa odbicia z zasady Fermata.

 

Rys. 2. Zasada najkrótszego czasu a prawo odbicia od granicy dwóch ośrodków.

 

Ze wzglêdu na symetriê układu (trójkąty CDB i CDB’ są przystające) czas przejścia światła z punktu B do A bêdzie równy czasowi przejścia światła z punktu B’ do A (odcinki BX i XB’ są równe dla dowolnego punktu X leżącego na przeciêciu granicy pomiêdzy ośrodkami i płaszczyzny padania). Najkrótszy czas przejścia z punktu B’ do punktu A odpowiada drodze B’CA, gdy punkty B’, C i A leżą na jednej prostej (czyli gdy punkt X jest punktem C). Wobec tego kąty ECA i B’CD są równe i, w konsekwencji (przystawanie trójkątów CDB i DCB’ oznacza równośæ kątów BCD i B’CD), także kąty ECA i DCB muszą byæ równe a to oznacza równośæ kątów padania i odbicia.

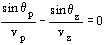
Prawo Snella z zasady Fermata

 

Rys. 3. Zasada najkrótszego czasu a prawo Snella.

 

 

Niech punkty A i B bêdą ustalone. Poszukujemy takiego punktu M (zatem takiej wartości x) dla którego czas przejścia światła z punktu A do punktu B bêdzie najkrótszy. Przyjmujemy, że prêdkośæ światła w ośrodku pierwszym (promieñ padający) jest vp a w ośrodku drugim (promieñ załamany) vz. Czas przejścia przez światło drogi AMB wyniesie wówczas:

.

Czas ten przyjmie wartośæ minimalną dla takiego toru (wyznaczonego przez punkt M a także wartośæ x), dla którego pochodna dt/dx bêdzie równa zero.

.

Po przyrównaniu do zera i skorzystaniu z definicji sinusów kątów q p i q z (rys. 3) mamy:

i ostatecznie:

.

Interpretacja prawa Snella w oparciu o zasadê Fermata (dlaczego światło ulega załamaniu?)

Przyjmując, że w ośrodku optycznie gêstszym światło rozchodzi siê z mniejszą prêdkością (co potwierdza eksperyment, a co postaramy siê bliżej zrozumieæ na dalszych wykładach), wydłużenie drogi w ośrodku rzadszym (i związane z tym wydłużenie czasu przejścia) jest wiêcej niż skompensowane przez skrócenie drogi w ośrodku w ośrodku gêstszym (i związane z tym skrócenie czasu przejścia). Współczynnik załamania nabiera sensu fizycznego, dziêki zasadzie Fermata uzyskuje on interpretacjê fizyczną.

Pojêcie długości drogi optycznej.

Czêsto zamiast czasu przejścia używa siê pojêcia długości drogi optycznej, oznaczmy je skrótem DDO (jeśli znajdziecie ładniejszy, albo czêściej stosowany skrót czy oznaczenie, to możemy zrezygnowaæ z DDO). Czas przejścia promienia przez szereg różnych ośrodków o współczynnikach wzglêdem próżni ni=c/vi wyniesie:

, czyli ,

gdzie si oznacza drogê geometryczną w ośrodku i. Bardziej elegancko i także bardziej ogólnie, można DDO zapisaæ w nastêpującej postaci:

.

Byłoby to szczególnie ważne, gdybyśmy mieli do czynienia nie z warstwami ośrodków jednorodnych ale z ośrodkiem niejednorodnym, tj takim, w którym współczynnik załamania zmienia siê od punktu do punktu.

Znaczenie zasady Fermata.

Zasada Fermata nie jest po prostu innym (do tego bardziej skomplikowanym i dziwacznym, choæ tak może siê wydawaæ na pierwszy rzut oka) sposobem sformułowania praw odbicia i załamania. Zasada Fermata pozwala na wyrażenie współczynnika załamania pomiêdzy dwoma ośrodkami poprzez prêdkości rozchodzenia siê światła w tych ośrodkach. Moźna ją zatem sprawdziæ eksperymentalnie. Dodatkowo pozwala ona na dokonanie pewnych przewidywañ, np dotyczących związków pomiêdzy wzglêdnymi współczynnikami załamania trzech ośrodków (patrz Feynman, tom I, cz. 2, str. 21), które znowu mogą byæ zweryfikowane eksperymentalnie.

Sugestia: Przeczytajcie (i starajcie siê zrozumieæ) wyprowadzenie prawa Snella z zasady Fermata zastosowane przez Feynmana (tom I, cz. 2, str. 14-17).

Interpretacja zasady Fermata w oparciu o mechanikê kwantową.

Nie wchodząc w szczegóły moźna chyba stwierdziæ, że mechanika kwantowa dostarcza nam obecnie najlepszy i najpełniejszy obraz mikroświata na jaki staæ dzisiaj fizykê. W tym sensie moźliwośæ kwantowo-mechanicznego wytłumaczenia i zinterpretowania zasady Fermata jest uderzająca (de Fermat byłby chyba bardzo zdziwiony); dodaje także tej zasadzie dużej wagi i powagi. Takie wytłumaczenie jest takźe najlepszym z tych jakie są dzisiaj możliwe. Można takie wytłumaczenie podaæ w sposób prosty ale oddający istotê rzeczy albo skomplikowany i sformalizowany. Bardzo proste i obrazowe wyjaśnienie zasady Fermata w oparciu o mechanikê kwantową podaje Feynman (tom I, cz. 2, str. 23), także Hecht, trochê bardziej szczegółowo wyjaśnia interpretacjê Feynmana. Do tych notatek dołączam xero odpowiednich stron z Hechta. Warto zwróciæ uwagê, że Hecht cytuje pracê Feynmana, "Space-Time Approach to Non-Relativistic Quantum Mechanics", Rev. Mod. Phys. 20, 367 (1948). W czasopiśmie tym czêsto publikowane są dobre artykuły przeglądowe o dużej wadze. Feynman nie potrzebuje, na szczêście, mojej rekomendacji bo, przyznajê, że własnego zdania o tym artykule nie mam; pomimo dobrych chêci na razie nie udało mi siê do niego zajrzeæ. Odsyłając Pañstwa do Feynmana (raczej do wykładów, ale jeśli ktoś jest ciekawy... może zajrzy do Rev. Mod. Phys.?) i Hechta podam tutaj w dużym skrócie zasadniczą ideê kwantowo-mechanicznej interpretacji zasady Fermata.

W kwantowo-mechanicznym podejściu prawdopodobieñstwo zajścia pewnego zdarzenia, które może zajśæ na wiele (może byæ kilka, ale jednak conajmniej dwa) sposobów (albo po różnych drogach) tak, że nie jesteśmy w stanie stwierdziæ, którą drogê układ sobie wybrał, oblicza siê w specyficzny sposób. To hipotetyczne zdarzenie może np polegac na tym, że foton przejdzie z punktu B do A na rys. 2 i spowoduje zadziałanie licznika fotonów w A (jakiś licznik czy detektor musimy tam ustawiæ, skąd byśmy inaczej wiedzieli, czy w ogóle jakiś foton tam siê przedostał?). Na czym polega ten specyficzny sposób obliczania? Najpierw, tak jak pokazano na rys. 4, każdemu torowi przypisujemy pewną zespoloną amplitudê prawdopodobieñstwa (nie samo prawdopodobieñstwo!). Gdybyśmy "zamknêli" wszystkie inne możliwe tory to kwadrat tej amplitudy dałby całkowite prawdopodobieñstwo przejścia fotonu z B do A, czyli, natêżenie światła w punkcie A. Jeśli jednak inne tory są także "do dyspozycji", to obliczenie całkowitego prawdopodobieñstwa wymaga najpierw zsumowania amplitud od poszczególnych torów w celu znalezienia całkowitej amplitudy i dopiero potem obliczenia prawdopodobieñstwa, które jest oczywiście równe kwadratowi całkowitej amplitudy. Zwróæcie uwagê, że tak obliczone prawdopodobieñstwo nie jest po prostu sumą prawdopodobieñstw przejśæ po różnych torach, ale bêdzie zawieraæ także pewne wyrazy interferencyjne (Hecht pokazuje te wyrazy na przykładzie przypadku dwóch moźliwych "dróg" czyli doświadczenia Younga). Elementarna amplituda prawdopodobieñstwa odpowiadająca pewnemu szczególnemu torowi (np BXA z rys. 2) jest liczbą zespoloną, której faza jest proporcjonalna właśnie do czasu przejścia fotonu po danym torze. Inna rzecz, którą trzeba sobie przypomnieæ, żeby zrozumieæ rys. 4 jest sposób w jaki dodajemy wektory (bo na pewno pamiêtacie, źe liczby zespolone dodajemy tak jak siê dodaje wektory). No i warto siê zastanowiæ, skąd siê bierze ten dziwaczny kształt; po prostu drogi dla których punkt X jest bardzo odległy od C mają czasy przebiegu bardzo różne, wiêc także bardzo różne i silnie zmieniające siê fazy. Fazy te zmieniają siê wolniej dla dróg o X w pobliżu C, które w rezultacie dają prostoliniowy odcinek spirali, dający najwiêkszy wkład do całkowitego prawdopodobieñstwa. Oznacza to, że tory fotonu przebiegające w pobliżu punktu C dają najwiêkszy wkład do tego prawdopodobieñstwa.

Tak jak w przypadku fotonów wystêpowanie wyrazów interferencyjnych może wydawaæ siê akceptowalne (fotony to w koñcu fale a do idei interferencji fal zdążyliśmy siê, od czasów Huygensa, trochê przyzwyczaiæ) to jeśli sobie uświadomiæ, że takie samo prawo obowiązuje także np elektrony (i piłki tenisowe czy futbolowe) to jest to trochê trudniejsze do przyjêcia, prawda? Jednak to właśnie mówi nam dzisiejsza fizyka. (Na szczêście, jak chodzi o piłki, to efekty interferencyjne nie dają siê zbyt mocno we znaki.)

 

Rys. 4. Amplituda prawdopodobieñstwa od jednego toru a) i od wielu torów b). Ponieważ dróg jest bardzo wiele, amplituda od jednej drogi jest stosunkowo mała; zatem wiele dróg daje razem amplitudê której wartośæ odpowiada punktowi lezącemu na praktycznie ciągłej krzywej, zwanej spiralą Cornu. Skrajne drogi, daleko od punktu C dają wkłady do koñców spirali. Wkłady te znoszą siê w znacznym stopniu, podczas gdy wkłady od torów w pobliźu punktu C determinują wartośæ całkowitego prawdopobieñstwa (czyli długośæ sumarycznego wektora).

 

 

 

 

 

Załamanie światła na granicy dwóch ośrodków jednorodnych o różnej gêstości

 

 

Rys. 5. Promieñ świetlny przechodzi z punktu B (w ośrodku o prêdkości vp) do punktu A (w ośrodku o prêdkości vz). Przypadek a): prêdkości vp i vz są równe, promieñ "wybiera" drogê prostoliniową . Przypadek b): vp >vz, promieñ "wybiera" dłuższą drogê w ośrodku "szybszym", "nadrabiając" stracony czas poprzez skrócenie drogi w ośrodku "wolniejszym" (załamanie "do normalnej"). Przypadek c): vp<vz, odwrotny do b) (załamanie " od normalnej").

 

 

Zasada Fermata (sformułowanie ogólne)

Współczesne sformułowanie zasady Fermata jest nastêpujące: torowi promienia świetlnego odpowiada znikająca pochodna czasu przejścia toru t(x) (dt(x)/dx=0), gdzie parametr x “numeruje” różne tory (porównaj rys. 3).

Oznacza to, że czas przejścia t dla faktycznego toru promienia powinien byæ minimalny, maksymalny, ale może także byæ punktem przegiêcia funkcji t(x). Warto zwróciæ uwagê, że definicja taka jest zgodna i zrozumiała z punktu widzenia interpretacji kwantowo-mechanicznej; znikanie pochodnej dla pewnego toru (czyli dla pewnego punktu x0) oznacza (o ile funkcja t(x) jest, jak mówią matematycy, "porządna"), że istnieje pewien obszar D x wokół punktu x0, w którym funkcja t(x) zmienia siê wolno (znikanie pierwszej pochodnej oznacza, że w rozwiniêciu funkcji t(x) nie wystêpują wyrazy rzêdu pierwszego), tak wiêc oczekujemy, że obszar ten da znaczący wkład do całkowitego prawdopodobieñstwa zarejestrowania fotonu w punkcie A. (A jak chodzi o "porządnośæ" funkcji t(x), to wiêkszośæ funkcji spotykanych w fizyce to są funkcje przyzwoite i na razie nie potrzebujemy siê o to martwiæ.)

Inne zastosowania zasady Fermata

Przeczytajcie fragmenty w Feynmanie o "mirażach" na szosie i na plaży, także historyjkê o "zachodzącym słoñcu"; są to przykłady interesujących efektów optycznych w ośrodkach z gradientem współczynnika załamania, które dają siê zrozumieæ w oparciu o zasadê Fermata (t. 1 cz. 2, str. 17-21).

 

Idealny układ optyczny (przykład na zasadê Fermata, dyskutowany także przez Feynmana).

 

Rys. 6. Idealny układ optyczny – symbolicznie przedstawiony liniami falistymi. S to punktowe źródło światła, a P to obraz punktu S, wytworzony przez układ. Układ jest idealny wtedy, gdy P jest punktem.

 

Na rys. 6 przedstawiamy schematycznie idealny układ optyczny. Punkt S oznacza punktowe źródło światła, P- obraz punktu S. Jeśli każdy punkt S w przestrzeni przedmiotu (czyli w naszym przypadku po lewej stronie układu) jest odwzorowany w punkt P w przestrzeni obrazu (po prawej stronie układu), to układ nazywamy idealnym albo stygmatycznym a punkty S i P nazywamy punktami sprzêżonymi. Gdyby punkt P był "rozmyty", to układ byłby astygmatyczny. Wiązka promieni wychodzących z S jest rozbieżna, po stronie obrazu mamy natomiast wiązkê zbieżną. Oczywiście działanie tego układu polega na "tranformowaniu" rozbieżnej wiązki światła charakteryzującej punktowe żródło światła na wiązkê zbieżną, tworzącą rzeczywisty obraz punktu S, oznaczony jako P. Zgodnie z zasadą Fermata oznacza to, że czasy przebiegu światła po różnych torach zawartych w obu wiązkach i przechodzących przez układ optyczny muszą byæ równe. Ponieważ są one jednak niewątpliwie różne dla odcinków torów i to zarówno po stronie przedmiotu jak i obrazu, zatem zadaniem układu optycznego powinno byæ skompensowanie tych różnic. Czy jest to możliwe?

 

Rys. 7. Układ optyczny (soczewka skupiająca wykonana ze szkła) odwzorowujący punkt S w punkt P. Ponieważ współczynnik załamania szkła jest wiêkszy niż powietrza, dłuższe drogi promieni 1 i 2 w powietrzu i związane z tym wydłużenie czasu przejścia, jest skompensowane krótszą drogą w szkle.

 

Na rysunku 7 pokazujemy soczewkê skupiającą. Nie wnikając w tej chwili w szczegóły działania tego układu (zajmiemy siê tym dokładniej w niedalekiej przyszłości), warto jednak zwróciæ uwagê, że układ taki może działaæ w sposób zbliżony do układu idealnego. Chociaż idealne odwzorowanie punktu S na punkt P wymagałoby dokładnej równości czasów przejścia po wszystkich torach zawartych w kącie bryłowym rozpiêtym na soczewce jednak dłuższa droga promieni 2 i 1 w powietrzu (wsp. zał. n1) jest, przynajmniej w pewnym stopniu, skompensowana krótsza drogą w szkle, w którym prêdkośæ światła jest przecież znacznie niższa (współczynnik załamania szkła n2 > n1, współczynnika załamania powietrza). Dokładne wypełnienie warunku równości czasów przejścia po różnych torach wymagałoby bardziej szczegółowego rozważenia kształtu obu powierzchni soczewki, ważne także byłyby dokładne wartości współczynników załamania w obu ośrodkach, gdyż to one właśnie określają czas przejścia po każdym torze w obu ośrodkach. Projektowanie układów optycznych można oprzeæ na takiej właśnie zasadzie; szukamy krzywych (albo raczej powierzchni) takich, że czasy przebiegu bêdą jak najdokładniej równe dla (najlepiej) wszystkich promieni świetlnych. W nastêpnym wykładzie rozważymy dokładniej kilka szczególnych przypadków.

 

z powrotem do spisu treści...