WYKŁAD 4

1.4 Dwie powierzchnie sferyczne - soczewka cienka

 

z powrotem do spisu treści...

 

 

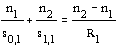
Rozważymy teraz problem dwóch powierzchni sferycznych oddzielających ośrodki o współczynnikach załamania kolejno n1, n2 i n1 i odległych od siebie o d (rys. 15).

 

 

Rys. 15. Dwie sferyczne powierzchnie oddzielające ośrodki n1, n2 i n1, odległe od siebie o d. Promienie krzywizny wynoszą R1 i R2. Współrzêdne przedmiotu i obrazu liczymy wzglêdem punktu V1 lub V2.

 

 

Niech promieñ krzywizny pierwszej powierzchni wynosi R1, a drugiej R2. Przyjmujemy oczywiście, że obraz wytworzony przez pierwszą powierzchniê stanowiæ bêdzie przedmiot dla powierzchni drugiej, zatem s0,2 = -s1,1.+ d, gdzie pierwszy dolny wskaźnik, tak jak poprzednio jest równy zero dla przedmiotu, jeden dla obrazu, a drugi numeruje powierzchnie załamujące, i gdzie wszystkie odległości s0,1, s1,1, s0,2, s1,2, są liczone odpowiednio, wzglêdem punktu V1 lub V2, tak jak dla pojedynczej powierzchni. Stosując dwukrotnie równanie pojedynczej powierzchni otrzymamy:

i

.

Podstawiając do drugiego równania związek s0,2 = d - s1,1 i grupując odpowiednie wyrazy otrzymamy:

.

Dla cienkiej soczewki, d » 0, a wiêc można przyjąæ, że V1 = V2, otrzymujemy tzw "równanie szlifierzy soczewek":

.

Wzór ten pokazuje, że moc optyczna dla soczewki cienkiej i dwuwypukłej (R1 > 0 i R2 < 0) jest sumą mocy optycznych dla obu powierzchni (druga powierzchnia jest co prawda wklêsła od strony wiązki padającej, ale wiązka pada od strony ośrodka gêstszego a nie rzadszego jak normalnie a wiêc ta powierzchnia ostatecznie także bêdzie skupiająca). Z grubsza widaæ także, nad czym należy siê zastanowiæ w przypadku gdy soczewka jest gruba i nie można pominąæ d; bêdziemy pewnie musieli (o ile zdecydujemy, że warto taki przypadek rozważyæ) przypisaæ jakąś moc optyczną warstwie o grubości d i współczynniku załamania n2. No i oczywiście mamy wyrażenie (to jest pewnie to co potrzebują szlifierze soczewek), które pozwala nam obliczyæ moc optyczną każdej soczewki sferycznej, wypukło - wypukłej, wklêsło - wypukłej, wypukło - płaskiej (R = ¥ ) itd, znak wyrażenia z promieniami krzywizn obu powierzchni bêdzie decydował o tym, czy soczewka bêdzie skupiająca czy rozpraszająca (oczywiście o ile n2 > n1).

Z równania szlifierzy soczewek wynika, że obie ogniskowe, przedmiotowa i obrazowa, bêdą sobie równe:

.

Dla soczewek zbierających f jest dodatnie, np dla soczewki dwuwypkłej, ponieważ R2 jest ujemne, zatem i licznik i mianownik są ujemne i wszystko siê zgadza), dla rozpraszających (np dwuwklêsłych) ogniskowa f bêdzie ujemna.

Podstawiając wyrażenie na ogniskową soczewki do równania szlifierzy soczewek dostajemy słynne równanie soczewkowe Gaussa:

,

z którego można wyliczyæ gdzie bêdzie znajdował siê obraz w zależności od położenia przedmiotu dla soczewek zbierających (czy skupiających) i rozpraszających. Np. z równania tego natychmiast wynika, że dla soczewek rozpraszających (f < 0), dla dowolnego s0 dodatniego (czyli dla dowolnego przedmiotu rzeczywistego) s1 musi byæ ujemne (czyli obraz bêdzie zawsze urojony) itd itp.

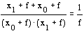
Równanie soczewkowe w innej postaci, tzw równanie soczewkowe Newtona wiąże ze sobą inne wielkości; zamiast odległości przedmiotowej i obrazowej s0 i s1 wystêpują w nim odległości od odpowiednich punktów ogniskowych, oznaczone x0 i x1. Postaæ taka jest czasem wygodniejsza, np dla grubych soczewek, kiedy łatwiej jest zmierzyæ bezpośrednio odległości ognisk, a potem przedmiotu i obrazu, od najbliższych powierzchni zewnêtrznych soczewki (metoda taka, przypisywana Newtonowi, jest opisana w ksiażce Meyera - Arendta, str. 67, tamże jest metoda Abbego wyznaczania ogniskowej układu złożonego lub soczewki grubej, wcześniej, na stronie 53, interesujące metody wyznaczania ogniskowej, ciekawe czy ktoś o tym pomyślał, mogłoby z tego wyjśæ pouczające zadanie na I Pracowniê Fizyczną).

Żeby otrzymaæ równanie soczewkowe w postaci newtonowskiej, podstawmy do równania w postaci gaussowskiej związki pomiêdzy odległościami gaussowskimi i newtonowskimi:

oraz

.

Otrzymamy wtedy:

,

skąd przez proste przekształcenie mamy

i dalej:

skąd ostatecznie:

- równanie soczewkowe Newtona.

Z równania tego wynika bezpośrednio, że znaki odległości newtonowskich x0 i x1 muszą byæ jednakowe (obie dodatnie, albo obie ujemne, jednocześnie), a zatem przedmiot i jego obraz muszą znajdowaæ siê po przeciwnych stronach odpowiednich punktów ogniskowych (jak patrzê sobie na to równanie, to wydaje mi siê, że dla soczewek skupiających wszystko jest OK, ale chyba mamy mały problem z soczewką rozpraszającą, a zresztą może nie, co Wy na to?)

 

z powrotem do spisu treści...